新闻资讯
news
东莞市环仪仪器科技有限公司
电话:0769 83482055
传真:0769 83482056
移动电话:15322932685/宋小姐
地址:广东省东莞市东坑镇龙坑兴业路3号
常见问题
4舱60L甲醛voc检测舱的测试条件
在使用4舱60L甲醛voc检测舱做甲醛voc释放量的检测过程中,需要配合多种仪器设备来进行试验,不同仪器的使用参数不同,下面,我们来看看试验过程中各个设备的使用条件。
试验设备:环仪仪器 4舱60L甲醛voc检测舱

设备条件:
温度:(23±1)℃;
相对湿度:50%±5%;
空气交换率:(0.5±0.01)次/h;
空气流速:(0.2±0.1)m/s;
舱背景浓度为:舱内TVOC背景浓度不大于20μg/m³,其他单一VOC背景浓度不大于2μg/m³

仪器条件:
1.GC-MS条件
程序升温程序:50℃(5min),以5℃/min升温至250℃,保持10min;
进样口温度:300C;
进样方式:分流,分流比30:1;
载气:氦气.EI源,电离能量为70eV,离子源温度:230℃;
接口温度:300℃;
采集方式:全扫描,40~350 m/z。
2.热解吸仪条件
解析温度:280℃;
解析时间:5min;
冷阱高温:320℃;
冷阱低温:40℃;
冷阱吸附剂:Tanax-TA;
传输线温度:300 ℃。

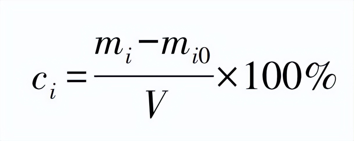
试验结果计算:
1.所采空气样品中有害物质浓度(ci) 按下式计算:

式中,
mi样品吸附管中 i 组分的含量(μg);
mi0空白吸附管中 i 组分的含量(μg);
V 采样体积(L)。
2.所采空气样品中各组分有害物质浓度按下式换算成标准状态下的浓度(csi):

式中,
ci所采空气样品中 i 组分的浓度(μg/m³);
P 采样时采样点的大气压力(kPa);
t采样点的温度(℃)。
3.总挥发性有机化合物(TVOC) 的浓度(cTVOC) 按下式计算:

4.有害物质 i 的释放量(EF) 按下式计算:

式中,
N 舱空气交换率(次/h) ;
L 材料/舱载荷比(m²/m³)。
以上就是4舱60L甲醛voc检测舱的测试条件,如有试验疑问,可以咨询环仪仪器相关技术人员。
上一篇: 4桶舱voc释放气候箱测定PVC板材中的TVOC释放量 下一篇: 6桶甲醛voc释放量测试仓
最新文章显示

环仪仪器厂家提供完整的售后服务,每一台环仪设备都有机身编号,只需提供机身号就可获得高效的覆盖全国30多个省市的售后服务,环仪承诺环境测试舱2年质保,终身维修,服务网点及周边地区确保2小时快速响应。



