新闻资讯
news
东莞市环仪仪器科技有限公司
电话:0769 83482055
传真:0769 83482056
移动电话:15322932685/宋小姐
地址:广东省东莞市东坑镇龙坑兴业路3号
常见问题
玩具VOCs气体的释放量计算
玩具VOCs气体通过释放后采集后,再通过一系列的分析,最后通过计算,得出最终释放量结果,下面,我们来看看玩具VOCs气体的释放量计算方法。
试验设备:环仪仪器 玩具VOCs气体收集舱

采样过程:
采样以气候舱法为例,设定测试需要的温湿度(温度为23℃,相对湿度50%),达到平衡稳定状态;采集本底气体30min;打开舱门,将试样放入舱内的试样架上,样品应避免与环境舱四壁接触,安放好试样后,关闭舱门,开始试验;采集试样气体30min。4个阶段的测试程度见下表。

挥发性有机化合物(甲醛、苯、甲苯、乙苯、二甲苯、TVOC) 释放量计算:
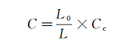
样品挥发性有机化合物(甲醛、苯、甲苯、乙苯、二甲苯、TVOC) 释放量按以下公式计算,

式中:
C—样品中挥发性有机化合物释放质量浓度,单位为毫克每立方米(mg/m²);
L0—面积标准承载率1,体积标准承载率为0.15;
L—样品的实际面积承载率或体积承载率;
Cc—试验后气袋气候舱内挥发性有机化合物质量浓度,单位为毫克每立方米(mg/m²)。
计算结果表示到小数点后3位。
以上就是玩具VOCs气体的释放量计算方法,如有试验疑问,可以访咨询环仪仪器相关技术人员。
上一篇: 玩具voc释放气候舱的主要试验过程 下一篇: 玩具VOC释放量环境舱
最新文章显示

环仪仪器厂家提供完整的售后服务,每一台环仪设备都有机身编号,只需提供机身号就可获得高效的覆盖全国30多个省市的售后服务,环仪承诺环境测试舱2年质保,终身维修,服务网点及周边地区确保2小时快速响应。



